Vanmok DensePhase(TM)

SIMULATOR FOR DENSEPHASE PIPELINES

Vanmok DensePhase

Simulator for modeling pipelines transporting dense phase fluids such as CO2, Ethane etc..

The Challenges

Need for a Simulator:

Why Existing Simulation Tools Fail Near Critical Region

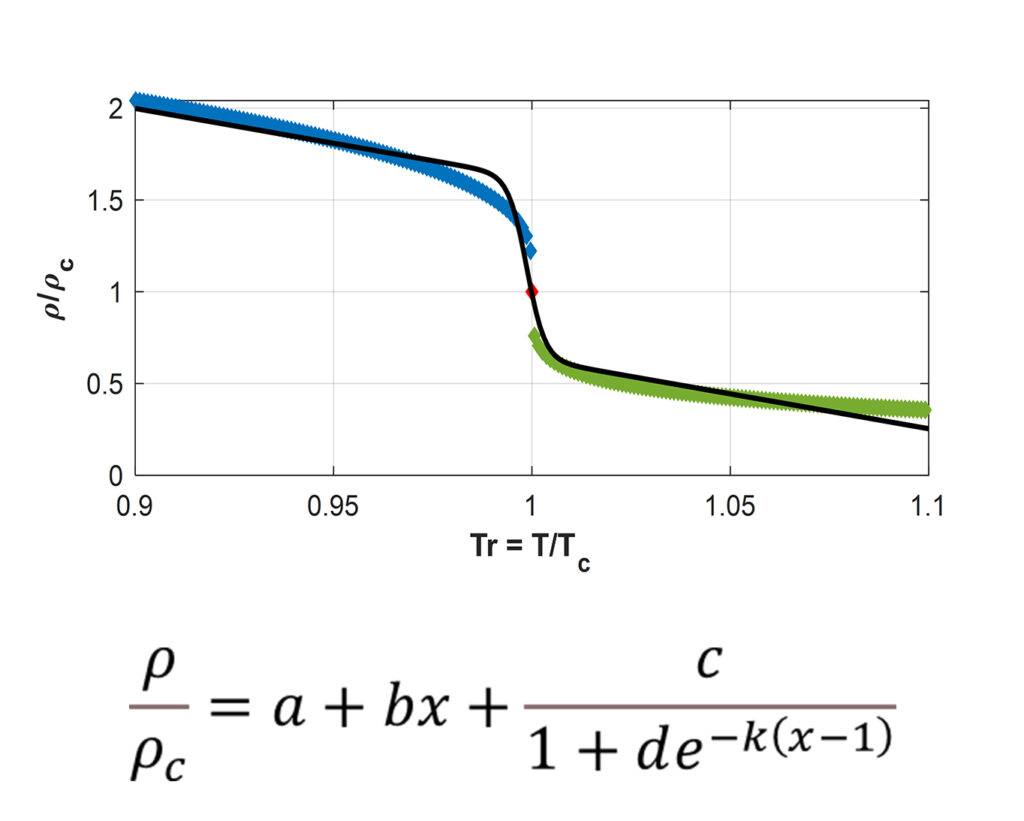
Most pipeline simulation tools rely on equations of state or property tables that were not designed for near-critical operation. While these methods perform adequately for conventional gas and liquid regimes, they struggle in dense-phase CO₂ where property curves change sharply near the critical point. Coarse tables and interpolation smooth out the very physics that governs this region, causing real-time models to use density and thermodynamic values that can be wrong by 10–30%. These inaccuracies directly undermine transient simulation fidelity and the reliability of leak detection systems.

Identified Gap in Existing Approaches

Vanmok Dense Phase simulator as a Solution:

Vanmok’s CO₂ Simulator overcomes the limitations of conventional equations of state by using explicit, regularized thermodynamic correlations tailored for the critical region. Instead of relying on property tables or standard EoS near critical conditions, the simulator detects proximity to the critical point and replaces property evaluation with analytical correlations for density and heat-capacity ratio that are directly embedded into the transient PDE solver. This produces a continuous, numerically stable thermodynamic field across gas, liquid, critical, and supercritical regimes. As a result, the simulator accurately models challenging conditions such as startups, shut-ins, temperature swings, and elevation-driven density changes—where conventional tools typically fail.

Features & Benefits:

User-Friendly Interface and Real-Time Monitoring

Designed with ease of use in mind, the graphical user interface (GUI) provides engineers and operators with an intuitive platform to visualize simulation results, monitor real-time data, and make informed decisions. Real-time adjustments are made simple with predictive analytics and diagnostic tools.

Why Choose Vanmok DensePhase Simulator for CO2 Pipelines?

Experience the Future of CO2 Pipeline Transport

At Vanmok, we are committed to providing innovative solutions that enhance the efficiency, safety, and environmental sustainability of CO2 transportation. Vanmok DensePhase Simulator for CO2 Pipelines is the ideal tool for designing, analyzing, and optimizing pipelines that transport CO2 in the supercritical phase.

Book a 30 minute demo to experience the Vanmok DensePhase(TM) Simulator for CO2 Pipelines